
The key feature of spintronic devices is their ability to use spin currents to transfer momentum, enabling low-energy, high-speed storage and logical signal control. These devices are usually manipulated by electric currents and fields. The charge-to-spin conversion efficiency (CSE) is a key metric for evaluating their performance.
Now, scientists from the Institute of Metal Research (IMR) of the Chinese Academy of Sciences have proposed a new deep correlation between the spin splitting torque (SST) and the Fermi surface geometry, achieving a quantum limit of 100% in a system with a flat Fermi surface.
The results were published in Physical Review Letters on December 16.
Conventional spintronic devices are usually controlled by electric currents or fields through two dominant mechanisms. The spin-transfer torque (STT) enables spin manipulation but is limited by spin scattering. The spin-orbit torque (SOT) mechanism enables transverse signals but is limited by short spin diffusion lengths, which cause rapid attenuation of spin currents during propagation and limit spin angular momentum injection efficiency.
Unlike conventional antiferromagnets, which do not generate spin currents, altermagnets exhibit spin splitting originating from magnetic order rather than relativistic spin-orbit coupling. This intrinsic property naturally supports long spin diffusion lengths. As spin-anisotropic splitting in the system increases, a time-reversal-odd (T-odd) spin current emerges, resulting in finite CSE. When a flat Fermi surface geometry emerges, d-wave spin anisotropy realizes the quantum limit for T-odd CSE.
Inspired by the model analysis, the researchers performed theoretical calculations on the room-temperature d-wave altermagnet KV₂O₂Se. The results revealed the presence of a flat Fermi surface with nearly negligible dispersion along the kz direction. Moreover, two perpendicular sets of Fermi surfaces are occupied by opposite spin panels. This aligns remarkably well with the scenario uncovered in the theoretical modeling and indicates the potential for an exceptionally large CSE.
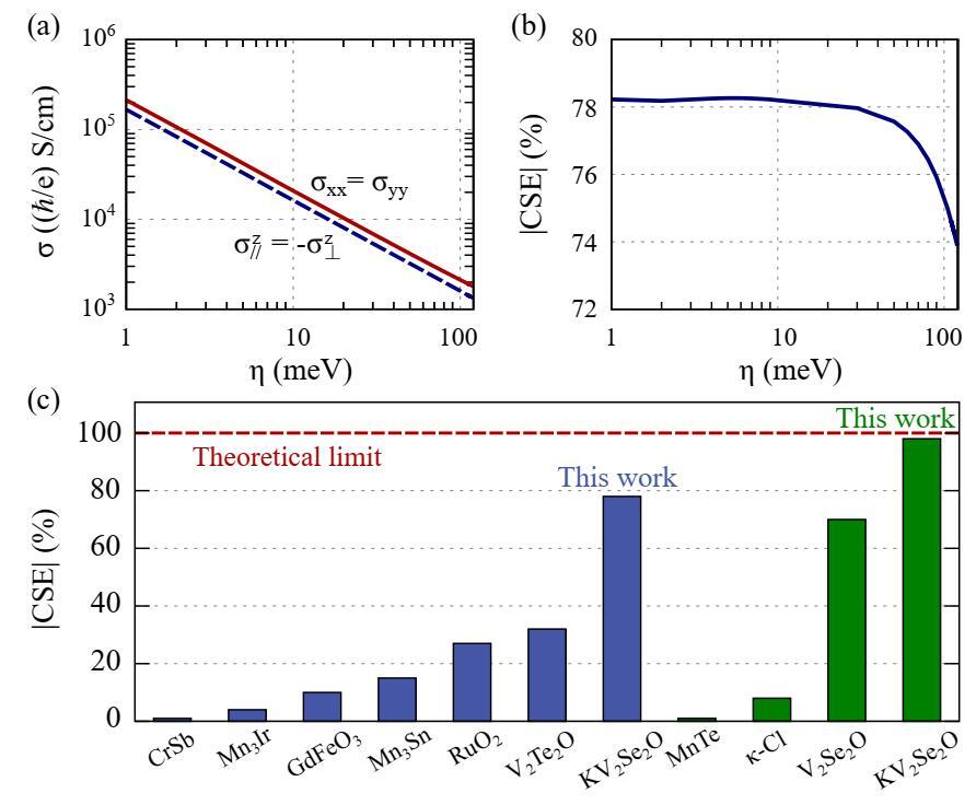
Practical calculations show that the material can generate transverse and longitudinal spin currents along the [110] and [100] directions. The CSE reaches 78% at the charge neutrality point, and up to 98% with slight electron doping. The researchers found that the high CSE in KV₂O₂Se is highly robust against temperature and defect effects.
A comprehensive comparison with reported T-odd spin current materials reveals that KV₂O₂Se stands out as a promising candidate for future applications. The CSE of KV₂O₂Se at the charge neutrality point is significantly higher than that of other alterneferents, surpassing even the prominent material RuO₂ by a factor of two, setting a new record for T-odd CSE efficiency. Additionally, KV₂O₂Se's spin conductivity reaches 3.2×10⁴ (ħ/2e) (S/cm) in both the transverse and longitudinal directions; its current density surpasses that of most intrinsic magnetic materials.
This work introduces a new strategy, "Fermi surface geometry engineering," for tuning the spin-related properties of materials toward the quantum limit and proposes promising candidate materials.

Effective model of altermagnets with different spin-splitting anisotropy (Image by IMR)

Crystal structure, band structure, and spin-current characteristics of KV2Se2O (Image by IMR)

Conductivity, spin conductivity, and CSE of KV2Se2O, in comparison with other altermagnets (Image by IMR)
86-10-68597521 (day)
86-10-68597289 (night)
52 Sanlihe Rd., Xicheng District,
Beijing, China (100864)